adb push src dest
file 可执行文件 获取可执行文件架构
modetest命令可以查看图层信息
RKMedia的各个组件及其交互
首先上图:

考虑到公司业务主要是相机,所以,主要去关注图像数据流,对于音频数据流直接忽略。
图像数据流向:
Camera Sensor将光信号转换成电信号(Raw数据) ->
ISP( image signal peocess)初步对raw数据进行一些处理,此时数据格式变成了(yuv420的变种)NV12格式 ->
NV12格式数据下面的流向大体有三种:MPP、RGA、DRM。
首先是MPP,在rkmedia中,该模块主要对传送过来的图像数据做编码操作,比如将数据编码成H264、H265格式。这些格式能极大的压缩图像数据的大小。具体H264里面的结构,文章后面有详细介绍。OSD对于框图中MPP上面的OSD模块,可以为MPP中每一帧图像添加一些额外的标记吧。OSD模块和MPP是 相互绑定 的,至少我目前在代码中看到的是这样。
其次是RGA,该模块独立存在,并且可以对输入的NV12图像进行裁剪、缩放、旋转,然后将处理都图像数据发送给MPP模块。
最后是DRM模块,该模块就是一个图像显示框架,可以直接将输入的数据显示到屏幕上。
在经过MPP模块编码后的图像,最后还会一个叫Muxer的模块,该模块会将编码后的图像数据和音频数据进行打包,打包成MP4或者flx等格式,最后推流给服务器。
raw原始图像格式有四种包括:BGGR、RGGB、GBRG、GRBG。也称Bayer raw。
VI基于v4l2接口实现
RKMedia接收者和发送者绑定限制:

摄像头的工作方式
摄像头有三种工作方式:
1 | typedef enum { |
hdr解释为高动态范围,能显示的亮度范围更大,三帧合一中的三帧对应:欠曝光帧,正常曝光帧,过度曝光帧。
一般使用常规单帧
关于MIPI接口标准也是很复杂,本文先在应用层简单了解一下它的使用,具体细节,后面需要再去深究。这里还是贴一张它的框图:

上面的CCI就是相机控制接口,使用I2C进行通信。下面CSI就是相机串行接口,主要是传输数据用的。
接下来根据ISP的初始化代码来进一步了解ISP:
代码如下:
1 | // RK_S32 SAMPLE_COMM_ISP_Init(RK_S32 CamId, rk_aiq_working_mode_t WDRMode, |
CamId:代表使用哪个mipi csi,0代表mipi csi0,1代表mipi csi1,如果只有一个摄像头就可以为0,不管摄像头插在哪个接口(默认id就是0),如果有两个摄像头,就必须有camid的区分。
WDRMode:就是上面提到的三种工作模式。
MultiCam:false代表开启一个摄像头的isp,true代表开启多个摄像头的isp,一个摄像头设置为false即可。
iq_file_dir:并且ISP的工作会依赖iq配置文件,所以函数SAMPLE_COMM_ISP_Init中iq_file_dir就是iq文件所在目录。
此外,当多个摄像头使用一个isp会分时复用,
注意这里提一下ISPP输出码流格式限制:

RGA模块的使用
接下来深入认识一下RGA模块的使用:
1 | RGA_ATTR_S stRgaAttr; |
前后还其实涉及VI模块、以及VI和RGA模块的绑定,考虑到篇幅太大,这里就掠过了,主要看RGA模块的配置。
总结一下:stImgIn可以利用stImgIn.u32X、stImgIn.u32Y进行裁剪,stImgOut可以利用stImgOut.u32Width、stImgOut.u32Height进行缩放。
RGA模块对图像格式的支持也是有限的,参考如下:

modetest命令可查看各个图层支持的格式
VOP对 VO_PLANE_PRIMARY = 0,
VO_PLANE_OVERLAY,两层有裁剪功能。并且VO_PLANE_OVERLAY还支持缩放
VO_PLANE_OVERLAY -> win0
VO_PLANE_PRIMARY -> win2
VO_PLANE_CURSOR -> 背景层(rv1126不支持)
杂项
I帧(IDR帧,Instantaneous Decoding Refresh) :帧内编码帧是一种自带全部信息的独立帧,无需参考其它图像便可独立进行解码,视频序列中的第一个帧始终都是I帧。 属于帧内压缩,压缩质量好,压缩比例小。IDR帧一定是I帧,I帧不一定是IDR帧。
P帧 :前向参考,采用帧内、帧间压缩。
B帧 :前后参考,采用帧内、帧间压缩,实时视频传输会关闭B帧。未来无法预测,需要先将B帧缓冲,等待后面的帧解码后,再从B帧往后开始播放。
压缩比:B>P>I
GOP :H264中GOP就是一个图像序列,即从I帧开始到最后一个连续的非I帧为止的一组帧,一般而言同一组GOP的帧之间相似度很高。
GOP又分两种:
open GOP:不同GOP之间的P、B帧可以跨GOP进行参考
close GOP:不同GOP之间的P、B帧不能跨GOP参考,也即不能参考IDR帧之前的帧。
RKKmedia的GOP有三种模式:如下:

再细分
一帧图像可以划分成一个或者多个slice,slice称为片或者条带。
slice:I条带、P条带、B条带。为支持不同编码流之间的切换,还定义了SI条带、SP条带。
设置条带的目的就是为了并行编码,使编码片之间相互独立进行编码,能够限制误码的扩散和传播。

宏块就是视频压缩的基本单位、H264固定16*16。
H265:编码单元的名称叫:CTU(树形编码单元),大小是64*64像素,每个CTU包含3个CTB(树形编码快),每个CTU包含若干CU(编码单元),CU还能进行更灵活的细分。
8*8小宏块压缩比小,但图像质量好
16*16大宏块压缩比大,但图像质量查,一些些细节存在失真
YUV
参考:https://zhuanlan.zhihu.com/p/113122344
首先了解一下RGB,RGB以三原色(红绿蓝)来表示一张图片,以一张1280 * 720 大小的图片为例,因为每个像素都有三个字节来控制颜色,所以占用 1280 * 720 * 3 / 1024 / 1024 = 2.63 MB 存储空间
而YUV 颜色编码采用的是 明亮度 和 色度 来指定像素的颜色。
色度 又定义了颜色的两个方面:色调和饱和度
也即yuv中每个像素也可以使用三个字节来控制其颜色。
但是: 对于 YUV 图像来说,并不是每个像素点都需要包含了 Y、U、V 三个分量,根据不同的采样格式,可以每个 Y 分量都对应自己的 UV 分量,也可以几个 Y 分量共用 UV 分量。Y 和 UV 分量是可以分离的,如果没有 UV 分量一样可以显示完整的图像,只不过是 黑白的。
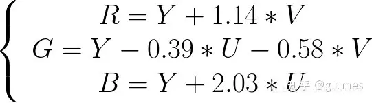
yuv和rgb可以相互转化,一般来说,传输会使用yuv(节省带宽),显示的时候会使用rgb。公式如下:


接下来就是yuv图像的采样,yuv图像的采样就是基于上面rgb转换成yuv后的数据进行采样,YUV 图像的主流采样方式有如下三种:
YUV 4:4:4 采样
YUV 4:2:2 采样
YUV 4:2:0 采样
YUV 4:4:4 采样
YUV 4:4:4 采样是完整的将rgb->yuv,不存在分量的丢失
形如:
1 | rgb->yuv: |
可以看出来,其图像大小和rgb一样,没有达到节省带宽的目的。
YUV 4:4:4 也是采样进行的第一步,先将rgb码流转换成完整的yuv码流,再根据需求,对vu分量按比例进行采样。(注意:y分量不可漏采!)
YUV 4:2:2 采样
表示uv分量占y分量的一半,形如:
1 | rgb->yuv: |
采样规则: 每采样过一个像素点,都会采样其 Y 分量,而 U、V 分量就会 间隔一列 采样。也即uv分量是YUV 4:4:4的1/2
可以看到再最后将采样后的yuv”还原“成”完整“的yuv后,第一个像素和第二个像素共用一个uv分量。第三像素和第四像素也一样。并且采样后的yuv码流大小为:(1280 * 720 * 1 + (1280 * 720) / 2 + (1280 * 720) / 2)/ 1024 / 1024 = 1.7578125 MB 可以看到压缩了近三分之一的带宽。
YUV 4:2:0 采样
YUV 4:2:0采样会比较难理解,举个例子,如下:
1 | rgb->yuv: |
采样规则: 每采样过一个像素点,都会采样其 Y 分量,而 U、V 分量就会交替 间隔一行 采样,并且一行采样中,隔一列 采样。也即uv分量是YUV 4:2:2 采样的1/2
最后在将采样的yuv”还原“成”完整“的yuv后,每四方格像素会共用一个uv分量。并且采样后的yuv码流大小为: (1280 * 720 * 1 + ((1280 / 2) * (720 / 2)) + ((1280 / 2) * (720 / 2)))/ 1024 / 1024 = 1.318359375 MB 将原来的rgb码流大小压缩了1/2倍!
YUV 4:2:2 变种
YUV 4:2:2 采样又有很多变种,比如:YUYV 格式、UYVY 格式、YUV 422P 格式。
YUYV(打包格式)形如:
1 | rgb->yuv: |
采样规则: 每采样过一个像素点,都会采样其 Y 分量,而 U、V 分量逐帧依次采样。
UYVY(打包格式) 和YUYV同理,仅仅存储的顺序不同。
YUV 422P(平面格式) :先存储所有Y分量,再存储U,最后V。
YUV 4:2:0 变种
主要包括两大类:YUV 420P 和 YUV 420SP,YUV 420P对应YU12、YV12,YUV 420SP对应NV12、NV21。YUV 420P 和 YUV 420SP都是基于平面模式存储。这里就不展开讨论。
H264
可以参考网站: https://www.zzsin.com/article/avc_0_start.html
H264没有音频、没有时间戳,处理图像本身,啥都没有。
H264又称avc,由一个个nalu组成。
有两种标准:AnnexB、avcC
AnnexB,nalu之间使用起始码分隔(一般是001或者0001(每位代表一字节)),并且类型为sps、pps的nalu当作普通nalu处理。当然,如果原数据中本身存在001字节序列,为使其正常传输,在发送数据前,会将原数据中的所有的”已定义字符“(001/0001)转义一下,这也是防竞争字节的概念。规则如下:
1 | 0 0 0 => 0 0 3 0 |
avcC,在每个nalu前面有一个固定长度的字节,这些字节会描述紧跟着的nalu有效载荷数据的长度。并且在一路采用 avcC 打包的 H.264 流之中,我们首先看到的将是一段被称之为 extradata 的数据,这段数据定义了这个 H.264 流的基本属性数据,当然,也包含了 SPS 和 PPS 数据。和AnnexB不同,avcC会将SPS和PPS放到extradata中(也可以把extradata看作协议头)。extradata还会定义,固定长度的字节的固定长度。extradata格式如下:
| 长度(bits) | 名称 | 备注 |
|---|---|---|
| 8 | version | 总是等于 0x01 |
| 8 | avc profile | 所存放第一个 SPS 的第一个字节 |
| 8 | avc compatibility | 所存放第一个 SPS 的第二个字节 |
| 8 | avc level | 所存放第一个 SPS 的第三个字节 |
| 6 | reserved | 保留字段 |
| 2 | NALULengthSizeMinusOne | NALU Body Length 数据的长度减去 1 |
| 3 | reserved | 保留字段 |
| 5 | number of SPS NALUs | 有几个 SPS,一般情况下这里是 1 |
| for(int i=0; i<number of SPS NALUs; i++){ | ~ | |
| 16 | SPS size | SPS 的长度 |
| 变长 | SPS NALU data | SPS NALU 的数据 |
| } | ~ | |
| 8 | number of PPS NALUs | 有几个 PPS,一般情况下这里是 1 |
| for(int i=0; i<number of PPS NALUs; i++){ | ~ | |
| 16 | PPS size | PPS 的长度 |
| 变长 | PPS NALU data | PPS NALU 的数据 |
| } | ~ |
nalu的第一个字节依次存放:禁止位、该nalu的重要性、nalu的类型。格式如下:
| nal_unit( NumBytesInNALunit ) | C | Descriptor |
|---|---|---|
| forbidden_zero_bit | All | f(1) |
| nal_ref_idc | All | u(2) |
| nal_unit_type | All | u(5) |
| … | … | … |
典型的nalu类型有:
nalu的类型为sps(Sequence Paramater Set)的level表示视频质量(5.1)
nalu的类型为sps(Sequence Paramater Set)的profile表示码流压缩档次(100)
nalu的类型为sei:补充增强信息单元。存放用户自定义的信息(可有可无
其余的参考下图:

sps的profile值可以参考如下:

nalu后续字节就是图像的有效载荷。
杂项
H264中,码率控制模式(RCMode)包括:CBR、VBR、AVBR
CBR:恒定码率,码率变化平稳,但是当有运动画面时,图像质量会变差只考虑带宽、不考虑图像质量,可以使用这种模式
VBR:可变码率,码率会依据图像质量的变化而变化,在意图像质量可以使用该模式。
AVBR:自适应可变码率,会自动检测当前编码的图像画面是运动的还是静止的,如果是运动的,会提高码率,否则会降低码率,同时考虑带宽和图像质量就使用该模式。结合了CBR和VBR的优点。
RKMedia中有专门的成员来配置选择哪种模式。
ROI:region of interest:感兴趣的区域。
SVC和AVC都属于H264但是属于不同标准
本章完结